Wykonaj dzielenie:
\(\frac{1}{z}\)
wiedząc, że \(z=x+yi\), gdzie \(x,y\in\mathbb{R}\).
NAUCZ SIĘ JEDNEGO DZIAŁU MATEMATYKI WYŻSZEJ W 3 DNI
Wystarczy uczyć się na przykładach, a teorię OGARNĄĆ przy okazji
Na pokładzie mamy już 30 000 studentów. Dołącz i Ty!
Wykonaj dzielenie:
\(\frac{1}{z}\)
wiedząc, że \(z=x+yi\), gdzie \(x,y\in\mathbb{R}\).
Wykonaj dzielenie liczb zespolonych:
\(\frac{1}{1+i}\)
Wykonaj dzielenie liczb zespolonych:
\(\frac{1}{i}\)
Wykonaj mnożenie liczb zespolonych:
\((3-\sqrt{2}i)(-1-i)\)
Wykonaj działania na liczbach zespolonych:
\(\frac{1}{2}+i-\left(2+\frac{1}{2}i\right)\)
Oblicz:
\(i+2i\)
Podaj część rzeczywistą i urojoną liczby zespolonej z:
\(z=-6\)
Podaj część rzeczywistą i urojoną liczby zespolonej z:
\(z=2i\)
Podaj część rzeczywistą i urojoną liczby zespolonej z:
\(z=2-i\)
Wykonaj potęgowanie jednostki urojonej:

Wykonaj potęgowanie jednostki urojonej:

Wykonaj potęgowanie jednostki urojonej:

Wykonaj działania na liczbach zespolonych:

Wykonaj działanie na liczbach zespolonych:

Wykonaj mnożenia liczb zespolonych:

Wykonaj potęgowanie:
\((1-i)^3\)
Oblicz potęgę liczby zespolonej:
\((2-i)^2\)
Oblicz potęgę liczby zespolonej:
\((1+i)^8\)
Wykonaj potęgowanie jednostki urojonej:

Wykonaj potęgowanie jednostki urojonej:

Wykonaj potęgowanie jednostki urojonej:

Wykonaj potęgowanie jednostki urojonej:

Oblicz
\(\frac{1}{z}+\frac{1}{\overline{z}}\)
gdzie \(z\) jest liczbą zespoloną.
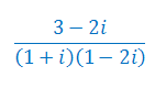
Wykonaj dzielenie liczb zespolonych:

Oblicz
\(\frac{1}{z}-\frac{1}{\overline{z}}\)
gdzie \(z\) jest liczbą zespoloną.
Oblicz
\(\frac{1}{1-i}-\frac{1}{1+i}\)
Oblicz
\(\frac{1}{1-i}+\frac{1}{1+i}\)
Wykonaj dzielenie liczb zespolonych:
\(\frac{(1+i)^2-2i^3}{(1-i)(1+i)}\)
Niech \(z=x+yi\), \(x,y\in\mathbb{R}\). Wyznacz część rzeczywistą i urojoną liczby zespolonej:
\(\frac{1}{z+i}\)
Niech \(z=x+yi\), \(x,y\in\mathbb{R}\). Jaka jest część rzeczywista i urojona liczby zespolonej:
\(z^3\)
Niech \(z=x+yi\), \(x,y\in\mathbb{R}\). Wyznacz część rzeczywistą i urojoną liczby zespolonej:
\(z^2\)
Podaj część rzeczywistą i urojoną liczby zespolonej:
\(z=\frac{1-i}{1+i}\)
Podaj część rzeczywistą i urojoną liczby zespolonej:
\(z=\frac{1+i}{1-i}\)
Podaj część rzeczywistą i urojoną liczby zespolonej:
\(z=\frac{1}{1-i}\)
Wykonaj dzielenie liczb zespolonych:

Wykonaj działania na liczbach zespolonych:

Wykonaj działania na liczbach zespolonych:

Wykonaj działania na liczbach zespolonych:

Wykonaj dzielenie liczb zespolonych:

Wykonaj działania na liczbach zespolonych:

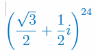
Korzystając ze wzoru de Moivre'a oblicz potęgę:

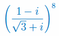
Korzystając ze wzoru de Moivre'a oblicz potęgę:
